✂️信源#
- 速通课程 ↗
📋知识点汇总#

✏️速通-1#
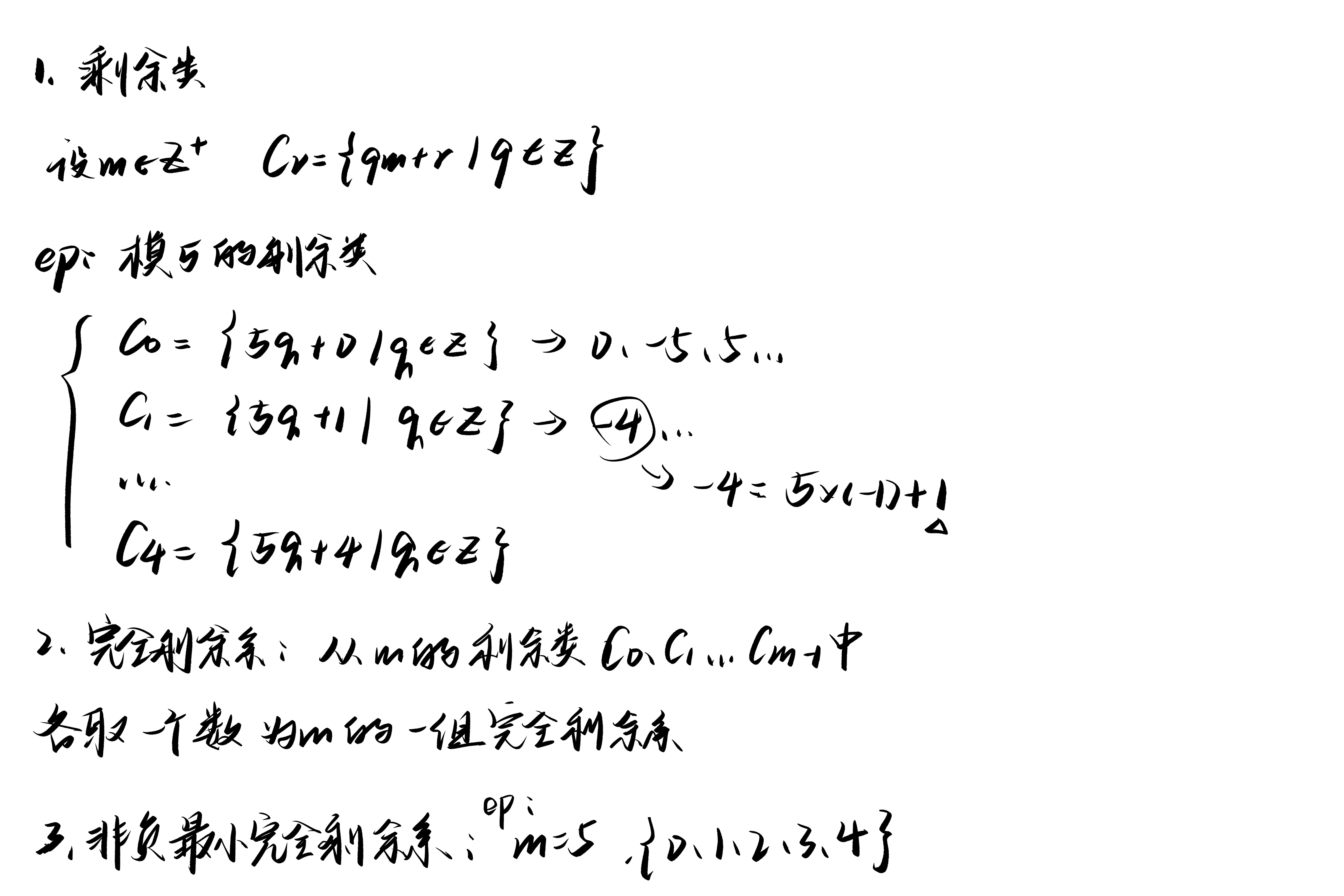
剩余类、完全剩余系、简化剩余系#

平方剩余和平方非剩余#

欧几里得算法求逆元#

✏️速通-2#
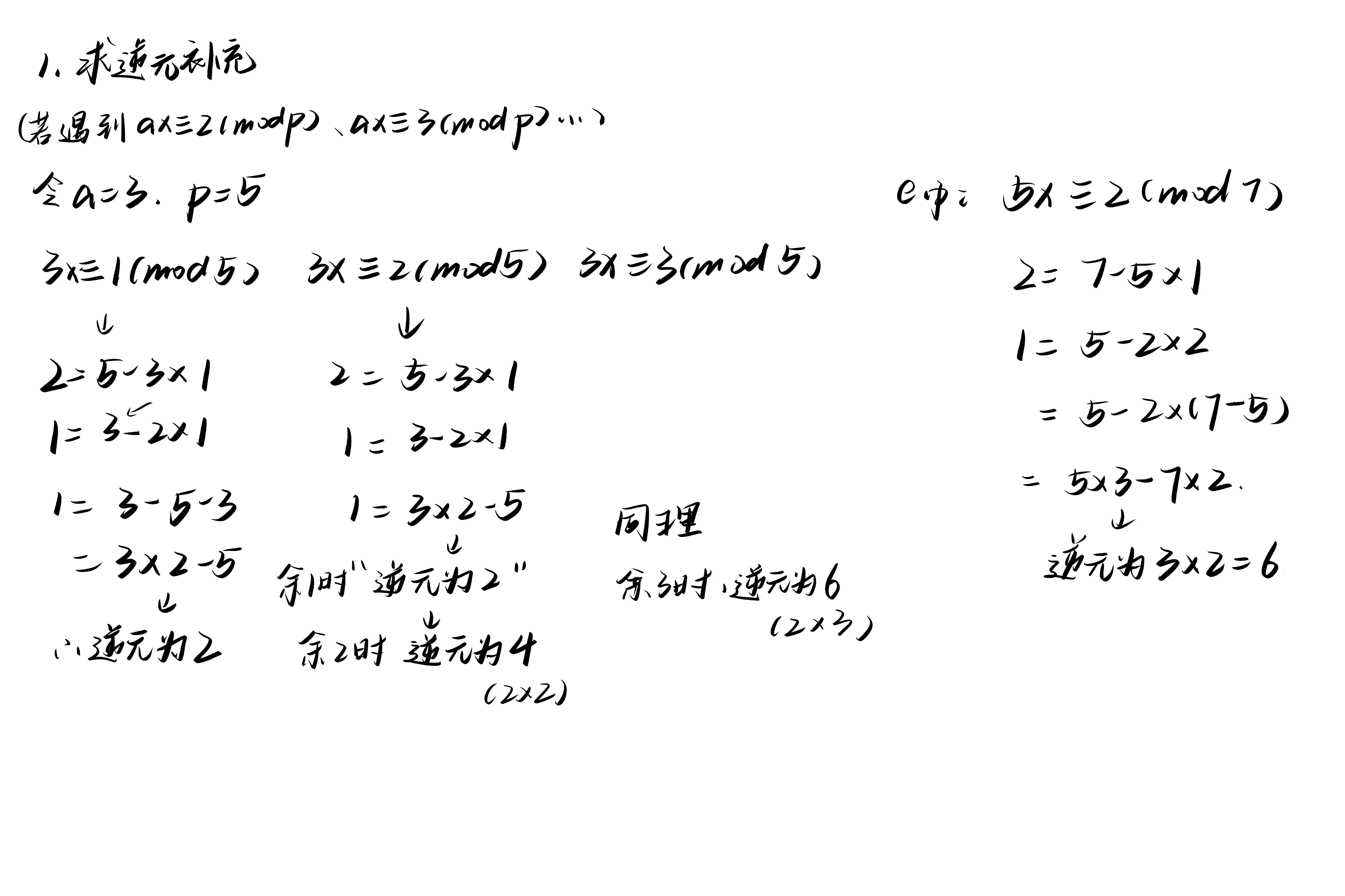
求逆元补充#

欧拉定理、指数和原根#

指数的性质、费马小定理、威尔逊定理#

定理补充#


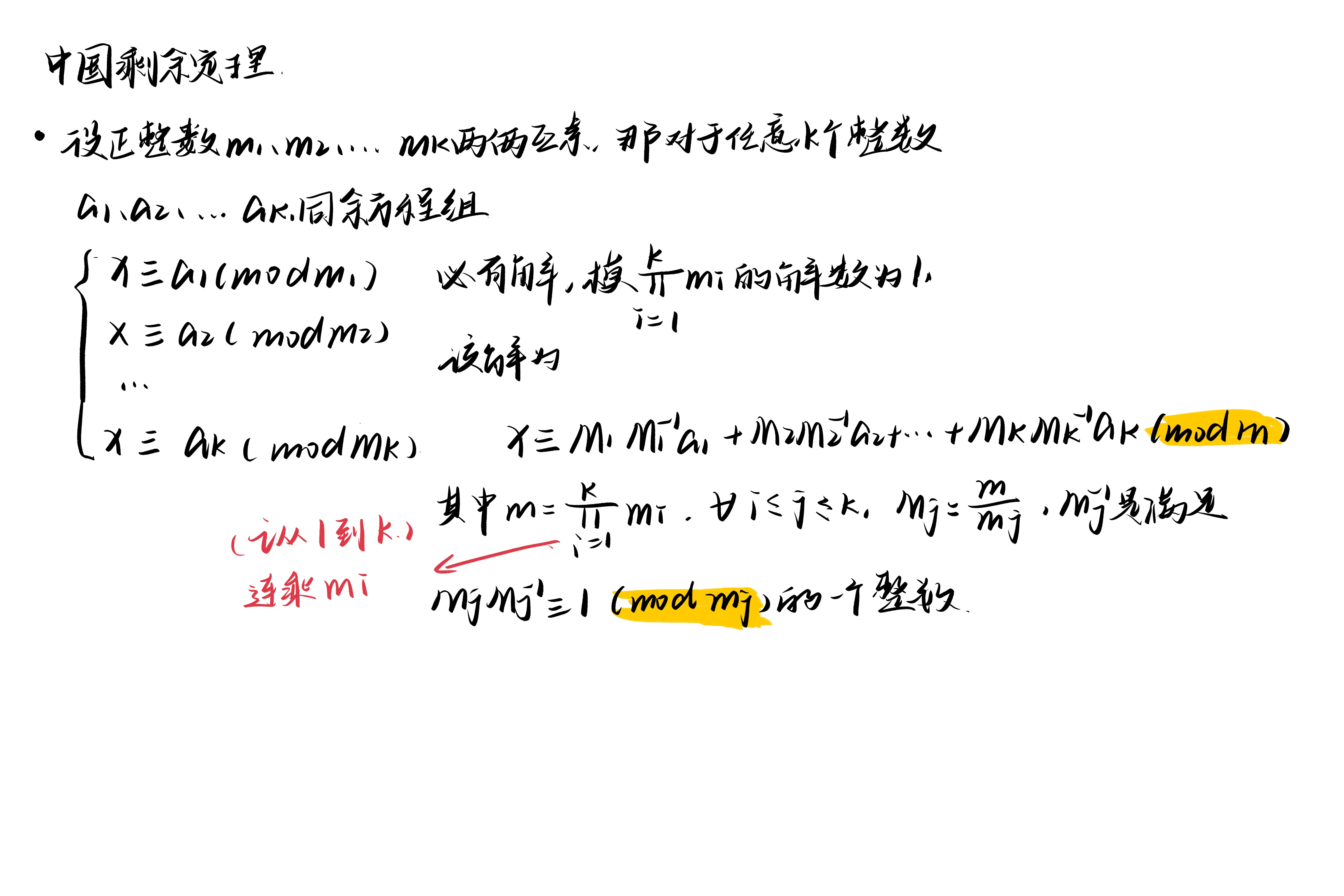
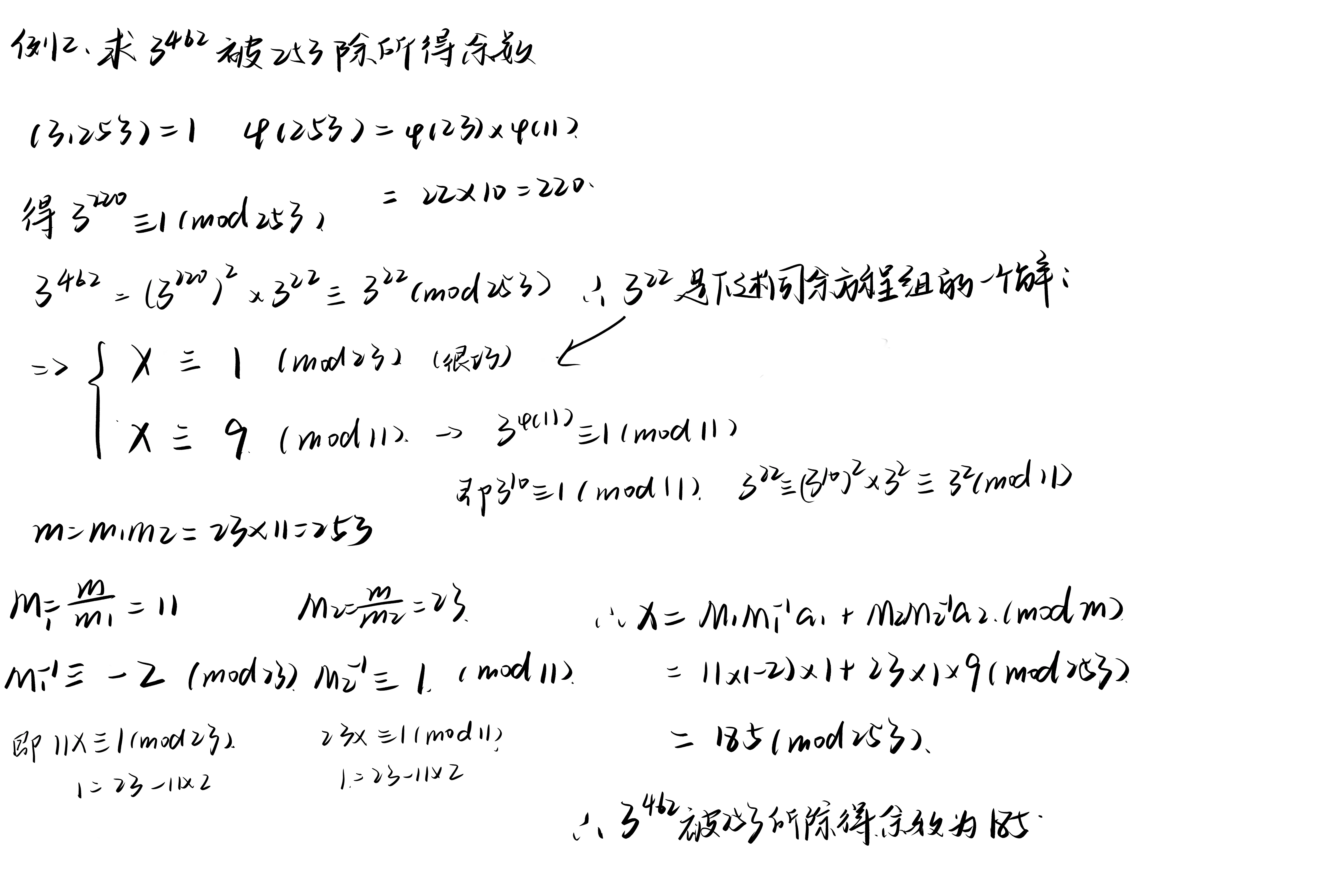
✏️速通-中国剩余定理#

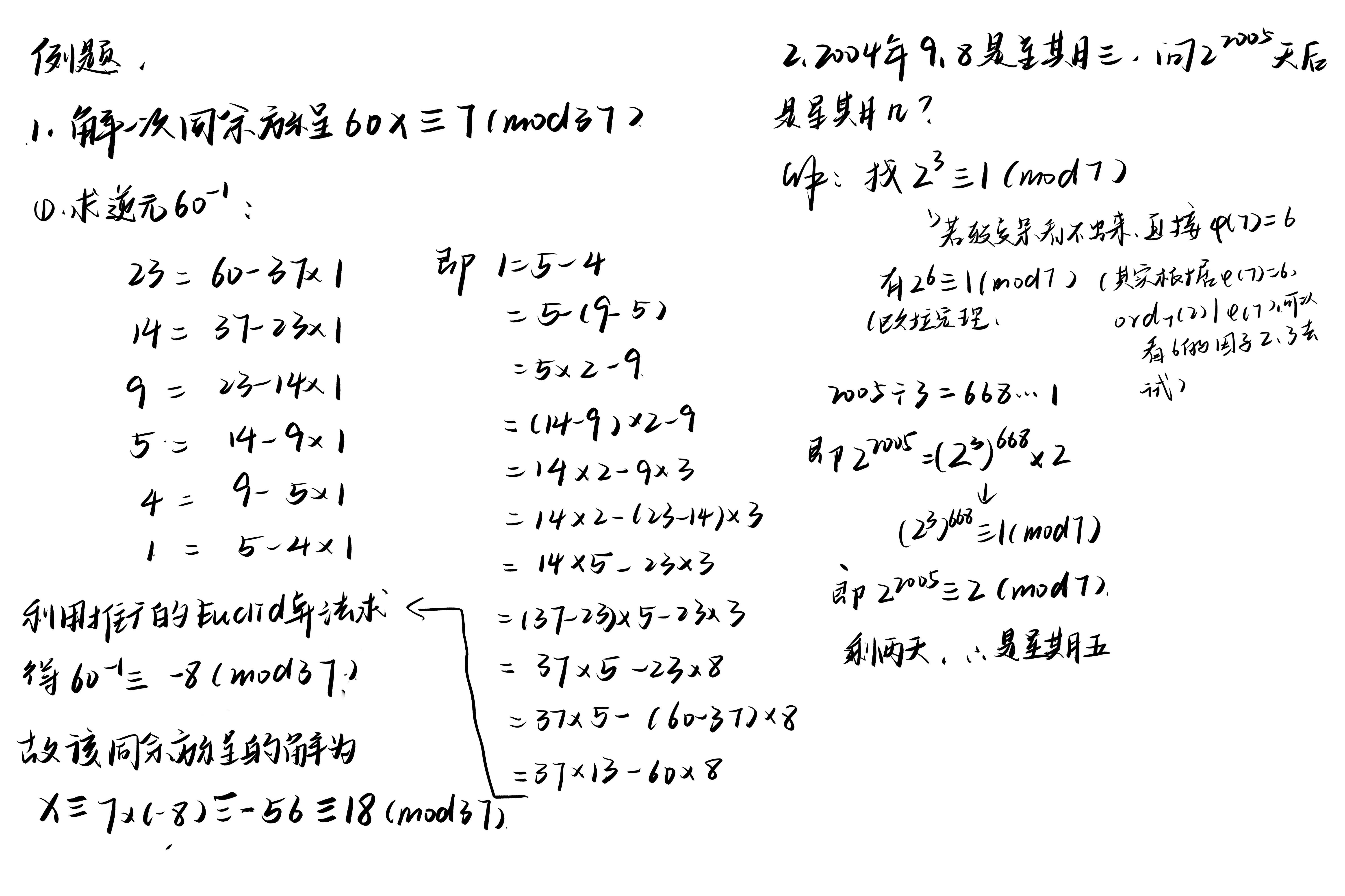
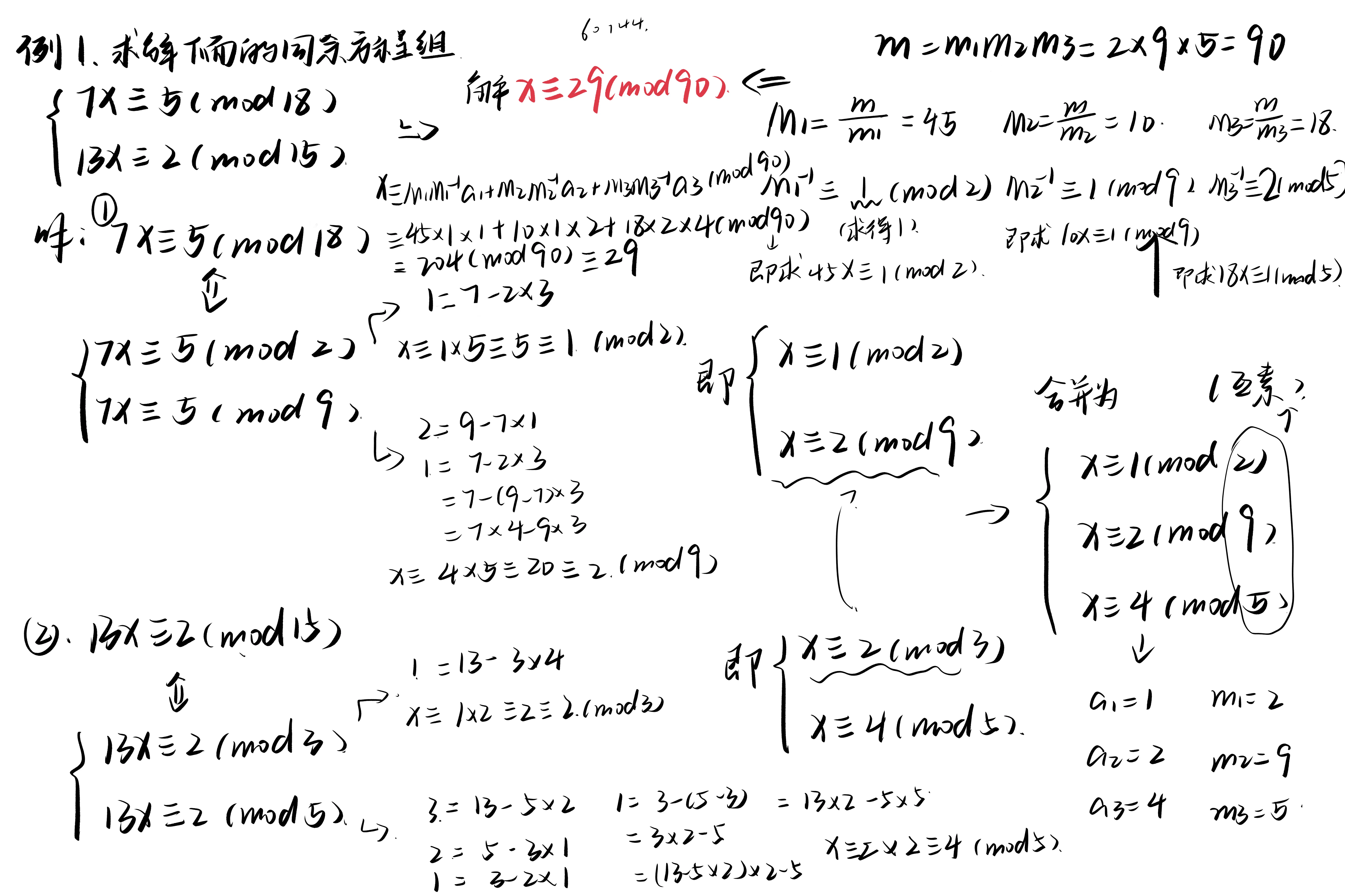
例题一#

例题二#

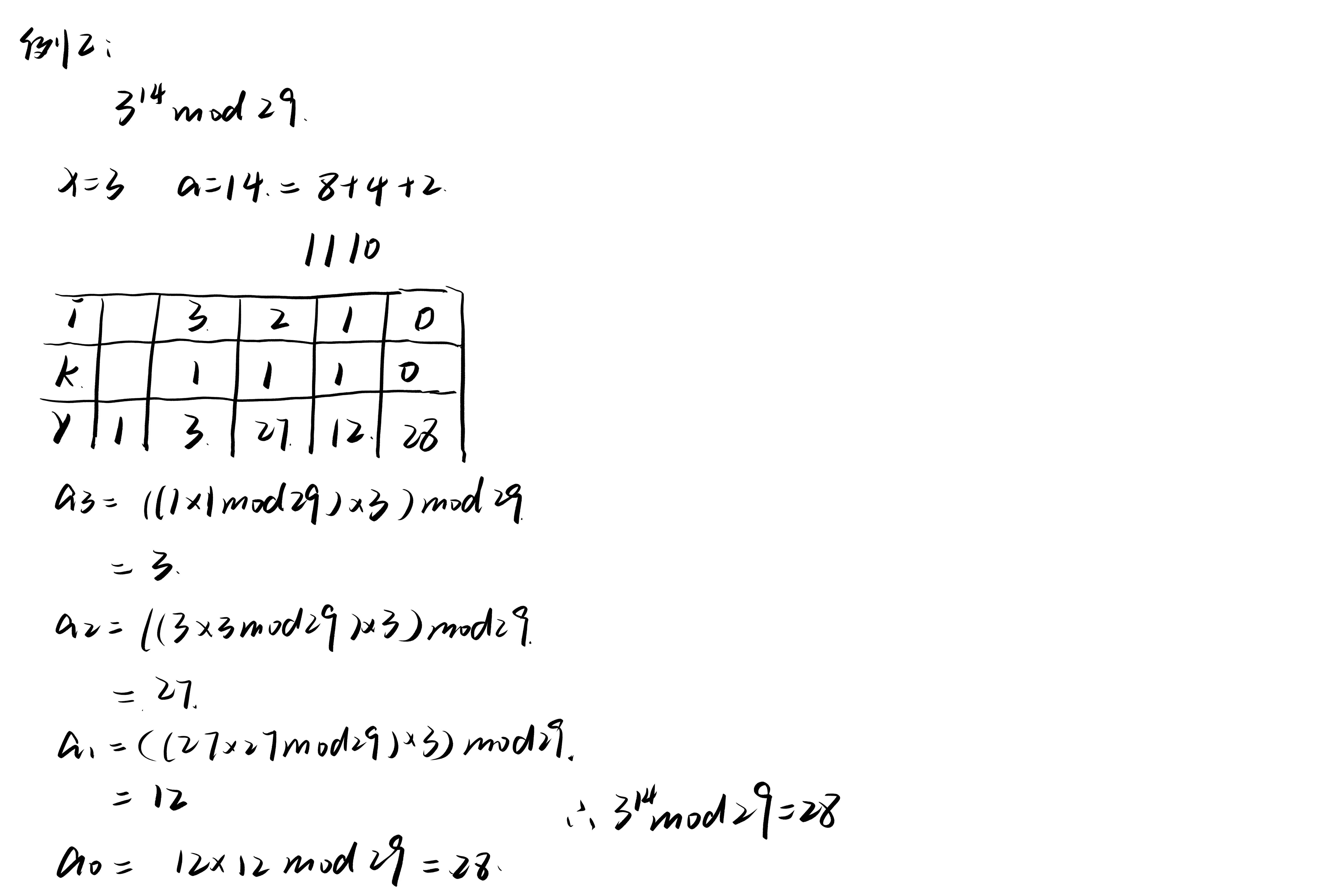
✏️速通-快速模乘法#

✏️速通-RSA加密算法#

📝半期考试真题#
女娲补天了一个晚上…考的大部分都是上课时讲的原题,可惜没听,速通课程也是以计算为重点,几道的知识点和证明都不会,还犯了很愚蠢的错误(公式记错了&忘了减一),七零八落的交了卷,感想是已老实😿
